跳转至

2.2   迭代与递归

在算法中,重复执行某个任务是很常见的,它与复杂度分析息息相关。因此,在介绍时间复杂度和空间复杂度之前,我们先来了解如何在程序中实现重复执行任务,即两种基本的程序控制结构:迭代、递归。

2.2.1   迭代

「迭代 iteration」是一种重复执行某个任务的控制结构。在迭代中,程序会在满足一定的条件下重复执行某段代码,直到这个条件不再满足。

1.   for 循环

for 循环是最常见的迭代形式之一,适合在预先知道迭代次数时使用

以下函数基于 for 循环实现了求和 \(1 + 2 + \dots + n\) ,求和结果使用变量 res 记录。需要注意的是,Python 中 range(a, b) 对应的区间是“左闭右开”的,对应的遍历范围为 \(a, a + 1, \dots, b-1\)

iteration.py
def for_loop(n: int) -> int:
    """for 循环"""
    res = 0
    # 循环求和 1, 2, ..., n-1, n
    for i in range(1, n + 1):
        res += i
    return res
iteration.cpp
/* for 循环 */
int forLoop(int n) {
    int res = 0;
    // 循环求和 1, 2, ..., n-1, n
    for (int i = 1; i <= n; ++i) {
        res += i;
    }
    return res;
}
iteration.java
/* for 循环 */
int forLoop(int n) {
    int res = 0;
    // 循环求和 1, 2, ..., n-1, n
    for (int i = 1; i <= n; i++) {
        res += i;
    }
    return res;
}
iteration.cs
/* for 循环 */
int ForLoop(int n) {
    int res = 0;
    // 循环求和 1, 2, ..., n-1, n
    for (int i = 1; i <= n; i++) {
        res += i;
    }
    return res;
}
iteration.go
/* for 循环 */
func forLoop(n int) int {
    res := 0
    // 循环求和 1, 2, ..., n-1, n
    for i := 1; i <= n; i++ {
        res += i
    }
    return res
}
iteration.swift
/* for 循环 */
func forLoop(n: Int) -> Int {
    var res = 0
    // 循环求和 1, 2, ..., n-1, n
    for i in 1 ... n {
        res += i
    }
    return res
}
iteration.js
/* for 循环 */
function forLoop(n) {
    let res = 0;
    // 循环求和 1, 2, ..., n-1, n
    for (let i = 1; i <= n; i++) {
        res += i;
    }
    return res;
}
iteration.ts
/* for 循环 */
function forLoop(n: number): number {
    let res = 0;
    // 循环求和 1, 2, ..., n-1, n
    for (let i = 1; i <= n; i++) {
        res += i;
    }
    return res;
}
iteration.dart
/* for 循环 */
int forLoop(int n) {
  int res = 0;
  // 循环求和 1, 2, ..., n-1, n
  for (int i = 1; i <= n; i++) {
    res += i;
  }
  return res;
}
iteration.rs
/* for 循环 */
fn for_loop(n: i32) -> i32 {
    let mut res = 0;
    // 循环求和 1, 2, ..., n-1, n
    for i in 1..=n {
        res += i;
    }
    res
}
iteration.c
/* for 循环 */
int forLoop(int n) {
    int res = 0;
    // 循环求和 1, 2, ..., n-1, n
    for (int i = 1; i <= n; i++) {
        res += i;
    }
    return res;
}
iteration.zig
// for 循环
fn forLoop(n: usize) i32 {
    var res: i32 = 0;
    // 循环求和 1, 2, ..., n-1, n
    for (1..n+1) |i| {
        res = res + @as(i32, @intCast(i));
    }
    return res;
} 
可视化运行

图 2-1 是该求和函数的流程框图。

求和函数的流程框图

图 2-1   求和函数的流程框图

此求和函数的操作数量与输入数据大小 \(n\) 成正比,或者说成“线性关系”。实际上,时间复杂度描述的就是这个“线性关系”。相关内容将会在下一节中详细介绍。

2.   while 循环

for 循环类似,while 循环也是一种实现迭代的方法。在 while 循环中,程序每轮都会先检查条件,如果条件为真,则继续执行,否则就结束循环。

下面我们用 while 循环来实现求和 \(1 + 2 + \dots + n\)

iteration.py
def while_loop(n: int) -> int:
    """while 循环"""
    res = 0
    i = 1  # 初始化条件变量
    # 循环求和 1, 2, ..., n-1, n
    while i <= n:
        res += i
        i += 1  # 更新条件变量
    return res
iteration.cpp
/* while 循环 */
int whileLoop(int n) {
    int res = 0;
    int i = 1; // 初始化条件变量
    // 循环求和 1, 2, ..., n-1, n
    while (i <= n) {
        res += i;
        i++; // 更新条件变量
    }
    return res;
}
iteration.java
/* while 循环 */
int whileLoop(int n) {
    int res = 0;
    int i = 1; // 初始化条件变量
    // 循环求和 1, 2, ..., n-1, n
    while (i <= n) {
        res += i;
        i++; // 更新条件变量
    }
    return res;
}
iteration.cs
/* while 循环 */
int WhileLoop(int n) {
    int res = 0;
    int i = 1; // 初始化条件变量
    // 循环求和 1, 2, ..., n-1, n
    while (i <= n) {
        res += i;
        i += 1; // 更新条件变量
    }
    return res;
}
iteration.go
/* while 循环 */
func whileLoop(n int) int {
    res := 0
    // 初始化条件变量
    i := 1
    // 循环求和 1, 2, ..., n-1, n
    for i <= n {
        res += i
        // 更新条件变量
        i++
    }
    return res
}
iteration.swift
/* while 循环 */
func whileLoop(n: Int) -> Int {
    var res = 0
    var i = 1 // 初始化条件变量
    // 循环求和 1, 2, ..., n-1, n
    while i <= n {
        res += i
        i += 1 // 更新条件变量
    }
    return res
}
iteration.js
/* while 循环 */
function whileLoop(n) {
    let res = 0;
    let i = 1; // 初始化条件变量
    // 循环求和 1, 2, ..., n-1, n
    while (i <= n) {
        res += i;
        i++; // 更新条件变量
    }
    return res;
}
iteration.ts
/* while 循环 */
function whileLoop(n: number): number {
    let res = 0;
    let i = 1; // 初始化条件变量
    // 循环求和 1, 2, ..., n-1, n
    while (i <= n) {
        res += i;
        i++; // 更新条件变量
    }
    return res;
}
iteration.dart
/* while 循环 */
int whileLoop(int n) {
  int res = 0;
  int i = 1; // 初始化条件变量
  // 循环求和 1, 2, ..., n-1, n
  while (i <= n) {
    res += i;
    i++; // 更新条件变量
  }
  return res;
}
iteration.rs
/* while 循环 */
fn while_loop(n: i32) -> i32 {
    let mut res = 0;
    let mut i = 1; // 初始化条件变量

    // 循环求和 1, 2, ..., n-1, n
    while i <= n {
        res += i;
        i += 1; // 更新条件变量
    }
    res
}
iteration.c
/* while 循环 */
int whileLoop(int n) {
    int res = 0;
    int i = 1; // 初始化条件变量
    // 循环求和 1, 2, ..., n-1, n
    while (i <= n) {
        res += i;
        i++; // 更新条件变量
    }
    return res;
}
iteration.zig
// while 循环
fn whileLoop(n: i32) i32 {
    var res: i32 = 0;
    var i: i32 = 1; // 初始化条件变量
    // 循环求和 1, 2, ..., n-1, n
    while (i <= n) {
        res += @intCast(i);
        i += 1;
    }
    return res;
}
可视化运行

while 循环比 for 循环的自由度更高。在 while 循环中,我们可以自由地设计条件变量的初始化和更新步骤。

例如在以下代码中,条件变量 \(i\) 每轮进行两次更新,这种情况就不太方便用 for 循环实现:

iteration.py
def while_loop_ii(n: int) -> int:
    """while 循环(两次更新)"""
    res = 0
    i = 1  # 初始化条件变量
    # 循环求和 1, 4, 10, ...
    while i <= n:
        res += i
        # 更新条件变量
        i += 1
        i *= 2
    return res
iteration.cpp
/* while 循环(两次更新) */
int whileLoopII(int n) {
    int res = 0;
    int i = 1; // 初始化条件变量
    // 循环求和 1, 4, 10, ...
    while (i <= n) {
        res += i;
        // 更新条件变量
        i++;
        i *= 2;
    }
    return res;
}
iteration.java
/* while 循环(两次更新) */
int whileLoopII(int n) {
    int res = 0;
    int i = 1; // 初始化条件变量
    // 循环求和 1, 4, 10, ...
    while (i <= n) {
        res += i;
        // 更新条件变量
        i++;
        i *= 2;
    }
    return res;
}
iteration.cs
/* while 循环(两次更新) */
int WhileLoopII(int n) {
    int res = 0;
    int i = 1; // 初始化条件变量
    // 循环求和 1, 4, 10, ...
    while (i <= n) {
        res += i;
        // 更新条件变量
        i += 1; 
        i *= 2;
    }
    return res;
}
iteration.go
/* while 循环(两次更新) */
func whileLoopII(n int) int {
    res := 0
    // 初始化条件变量
    i := 1
    // 循环求和 1, 4, 10, ...
    for i <= n {
        res += i
        // 更新条件变量
        i++
        i *= 2
    }
    return res
}
iteration.swift
/* while 循环(两次更新) */
func whileLoopII(n: Int) -> Int {
    var res = 0
    var i = 1 // 初始化条件变量
    // 循环求和 1, 4, 10, ...
    while i <= n {
        res += i
        // 更新条件变量
        i += 1
        i *= 2
    }
    return res
}
iteration.js
/* while 循环(两次更新) */
function whileLoopII(n) {
    let res = 0;
    let i = 1; // 初始化条件变量
    // 循环求和 1, 4, 10, ...
    while (i <= n) {
        res += i;
        // 更新条件变量
        i++;
        i *= 2;
    }
    return res;
}
iteration.ts
/* while 循环(两次更新) */
function whileLoopII(n: number): number {
    let res = 0;
    let i = 1; // 初始化条件变量
    // 循环求和 1, 4, 10, ...
    while (i <= n) {
        res += i;
        // 更新条件变量
        i++;
        i *= 2;
    }
    return res;
}
iteration.dart
/* while 循环(两次更新) */
int whileLoopII(int n) {
  int res = 0;
  int i = 1; // 初始化条件变量
  // 循环求和 1, 4, 10, ...
  while (i <= n) {
    res += i;
    // 更新条件变量
    i++;
    i *= 2;
  }
  return res;
}
iteration.rs
/* while 循环(两次更新) */
fn while_loop_ii(n: i32) -> i32 {
    let mut res = 0;
    let mut i = 1; // 初始化条件变量

    // 循环求和 1, 4, 10, ...
    while i <= n {
        res += i;
        // 更新条件变量
        i += 1;
        i *= 2;
    }
    res
}
iteration.c
/* while 循环(两次更新) */
int whileLoopII(int n) {
    int res = 0;
    int i = 1; // 初始化条件变量
    // 循环求和 1, 4, 10, ...
    while (i <= n) {
        res += i;
        // 更新条件变量
        i++;
        i *= 2;
    }
    return res;
}
iteration.zig
//  while 循环(两次更新)
fn whileLoopII(n: i32) i32 {
    var res: i32 = 0;
    var i: i32 = 1; // 初始化条件变量
    // 循环求和 1, 4, 10, ...
    while (i <= n) {
        res += @intCast(i);
        // 更新条件变量
        i += 1;
        i *= 2;
    }
    return res;
}
可视化运行

总的来说,for 循环的代码更加紧凑,while 循环更加灵活,两者都可以实现迭代结构。选择使用哪一个应该根据特定问题的需求来决定。

3.   嵌套循环

我们可以在一个循环结构内嵌套另一个循环结构,下面以 for 循环为例:

iteration.py
def nested_for_loop(n: int) -> str:
    """双层 for 循环"""
    res = ""
    # 循环 i = 1, 2, ..., n-1, n
    for i in range(1, n + 1):
        # 循环 j = 1, 2, ..., n-1, n
        for j in range(1, n + 1):
            res += f"({i}, {j}), "
    return res
iteration.cpp
/* 双层 for 循环 */
string nestedForLoop(int n) {
    ostringstream res;
    // 循环 i = 1, 2, ..., n-1, n
    for (int i = 1; i <= n; ++i) {
        // 循环 j = 1, 2, ..., n-1, n
        for (int j = 1; j <= n; ++j) {
            res << "(" << i << ", " << j << "), ";
        }
    }
    return res.str();
}
iteration.java
/* 双层 for 循环 */
String nestedForLoop(int n) {
    StringBuilder res = new StringBuilder();
    // 循环 i = 1, 2, ..., n-1, n
    for (int i = 1; i <= n; i++) {
        // 循环 j = 1, 2, ..., n-1, n
        for (int j = 1; j <= n; j++) {
            res.append("(" + i + ", " + j + "), ");
        }
    }
    return res.toString();
}
iteration.cs
/* 双层 for 循环 */
string NestedForLoop(int n) {
    StringBuilder res = new();
    // 循环 i = 1, 2, ..., n-1, n
    for (int i = 1; i <= n; i++) {
        // 循环 j = 1, 2, ..., n-1, n
        for (int j = 1; j <= n; j++) {
            res.Append($"({i}, {j}), ");
        }
    }
    return res.ToString();
}
iteration.go
/* 双层 for 循环 */
func nestedForLoop(n int) string {
    res := ""
    // 循环 i = 1, 2, ..., n-1, n
    for i := 1; i <= n; i++ {
        for j := 1; j <= n; j++ {
            // 循环 j = 1, 2, ..., n-1, n
            res += fmt.Sprintf("(%d, %d), ", i, j)
        }
    }
    return res
}
iteration.swift
/* 双层 for 循环 */
func nestedForLoop(n: Int) -> String {
    var res = ""
    // 循环 i = 1, 2, ..., n-1, n
    for i in 1 ... n {
        // 循环 j = 1, 2, ..., n-1, n
        for j in 1 ... n {
            res.append("(\(i), \(j)), ")
        }
    }
    return res
}
iteration.js
/* 双层 for 循环 */
function nestedForLoop(n) {
    let res = '';
    // 循环 i = 1, 2, ..., n-1, n
    for (let i = 1; i <= n; i++) {
        // 循环 j = 1, 2, ..., n-1, n
        for (let j = 1; j <= n; j++) {
            res += `(${i}, ${j}), `;
        }
    }
    return res;
}
iteration.ts
/* 双层 for 循环 */
function nestedForLoop(n: number): string {
    let res = '';
    // 循环 i = 1, 2, ..., n-1, n
    for (let i = 1; i <= n; i++) {
        // 循环 j = 1, 2, ..., n-1, n
        for (let j = 1; j <= n; j++) {
            res += `(${i}, ${j}), `;
        }
    }
    return res;
}
iteration.dart
/* 双层 for 循环 */
String nestedForLoop(int n) {
  String res = "";
  // 循环 i = 1, 2, ..., n-1, n
  for (int i = 1; i <= n; i++) {
    // 循环 j = 1, 2, ..., n-1, n
    for (int j = 1; j <= n; j++) {
      res += "($i, $j), ";
    }
  }
  return res;
}
iteration.rs
/* 双层 for 循环 */
fn nested_for_loop(n: i32) -> String {
    let mut res = vec![];
    // 循环 i = 1, 2, ..., n-1, n
    for i in 1..=n {
        // 循环 j = 1, 2, ..., n-1, n
        for j in 1..=n {
            res.push(format!("({}, {}), ", i, j));
        }
    }
    res.join("")
}
iteration.c
/* 双层 for 循环 */
char *nestedForLoop(int n) {
    // n * n 为对应点数量,"(i, j), " 对应字符串长最大为 6+10*2,加上最后一个空字符 \0 的额外空间
    int size = n * n * 26 + 1;
    char *res = malloc(size * sizeof(char));
    // 循环 i = 1, 2, ..., n-1, n
    for (int i = 1; i <= n; i++) {
        // 循环 j = 1, 2, ..., n-1, n
        for (int j = 1; j <= n; j++) {
            char tmp[26];
            snprintf(tmp, sizeof(tmp), "(%d, %d), ", i, j);
            strncat(res, tmp, size - strlen(res) - 1);
        }
    }
    return res;
}
iteration.zig
// 双层 for 循环
fn nestedForLoop(allocator: Allocator, n: usize) ![]const u8 {
    var res = std.ArrayList(u8).init(allocator);
    defer res.deinit();
    var buffer: [20]u8 = undefined;
    // 循环 i = 1, 2, ..., n-1, n
    for (1..n+1) |i| {
        // 循环 j = 1, 2, ..., n-1, n
        for (1..n+1) |j| {
            var _str = try std.fmt.bufPrint(&buffer, "({d}, {d}), ", .{i, j});
            try res.appendSlice(_str);
        }
    }
    return res.toOwnedSlice();
}
可视化运行

图 2-2 是该嵌套循环的流程框图。

嵌套循环的流程框图

图 2-2   嵌套循环的流程框图

在这种情况下,函数的操作数量与 \(n^2\) 成正比,或者说算法运行时间和输入数据大小 \(n\) 成“平方关系”。

我们可以继续添加嵌套循环,每一次嵌套都是一次“升维”,将会使时间复杂度提高至“立方关系”“四次方关系”,以此类推。

2.2.2   递归

「递归 recursion」是一种算法策略,通过函数调用自身来解决问题。它主要包含两个阶段。

  1. :程序不断深入地调用自身,通常传入更小或更简化的参数,直到达到“终止条件”。
  2. :触发“终止条件”后,程序从最深层的递归函数开始逐层返回,汇聚每一层的结果。

而从实现的角度看,递归代码主要包含三个要素。

  1. 终止条件:用于决定什么时候由“递”转“归”。
  2. 递归调用:对应“递”,函数调用自身,通常输入更小或更简化的参数。
  3. 返回结果:对应“归”,将当前递归层级的结果返回至上一层。

观察以下代码,我们只需调用函数 recur(n) ,就可以完成 \(1 + 2 + \dots + n\) 的计算:

recursion.py
def recur(n: int) -> int:
    """递归"""
    # 终止条件
    if n == 1:
        return 1
    # 递:递归调用
    res = recur(n - 1)
    # 归:返回结果
    return n + res
recursion.cpp
/* 递归 */
int recur(int n) {
    // 终止条件
    if (n == 1)
        return 1;
    // 递:递归调用
    int res = recur(n - 1);
    // 归:返回结果
    return n + res;
}
recursion.java
/* 递归 */
int recur(int n) {
    // 终止条件
    if (n == 1)
        return 1;
    // 递:递归调用
    int res = recur(n - 1);
    // 归:返回结果
    return n + res;
}
recursion.cs
/* 递归 */
int Recur(int n) {
    // 终止条件
    if (n == 1)
        return 1;
    // 递:递归调用
    int res = Recur(n - 1);
    // 归:返回结果
    return n + res;
}
recursion.go
/* 递归 */
func recur(n int) int {
    // 终止条件
    if n == 1 {
        return 1
    }
    // 递:递归调用
    res := recur(n - 1)
    // 归:返回结果
    return n + res
}
recursion.swift
/* 递归 */
func recur(n: Int) -> Int {
    // 终止条件
    if n == 1 {
        return 1
    }
    // 递:递归调用
    let res = recur(n: n - 1)
    // 归:返回结果
    return n + res
}
recursion.js
/* 递归 */
function recur(n) {
    // 终止条件
    if (n === 1) return 1;
    // 递:递归调用
    const res = recur(n - 1);
    // 归:返回结果
    return n + res;
}
recursion.ts
/* 递归 */
function recur(n: number): number {
    // 终止条件
    if (n === 1) return 1;
    // 递:递归调用
    const res = recur(n - 1);
    // 归:返回结果
    return n + res;
}
recursion.dart
/* 递归 */
int recur(int n) {
  // 终止条件
  if (n == 1) return 1;
  // 递:递归调用
  int res = recur(n - 1);
  // 归:返回结果
  return n + res;
}
recursion.rs
/* 递归 */
fn recur(n: i32) -> i32 {
    // 终止条件
    if n == 1 {
        return 1;
    }
    // 递:递归调用
    let res = recur(n - 1);
    // 归:返回结果
    n + res
}
recursion.c
/* 递归 */
int recur(int n) {
    // 终止条件
    if (n == 1)
        return 1;
    // 递:递归调用
    int res = recur(n - 1);
    // 归:返回结果
    return n + res;
}
recursion.zig
// 递归函数
fn recur(n: i32) i32 {
    // 终止条件
    if (n == 1) {
        return 1;
    }
    // 递:递归调用
    var res: i32 = recur(n - 1);
    // 归:返回结果
    return n + res;
}
可视化运行

图 2-3 展示了该函数的递归过程。

求和函数的递归过程

图 2-3   求和函数的递归过程

虽然从计算角度看,迭代与递归可以得到相同的结果,但它们代表了两种完全不同的思考和解决问题的范式

  • 迭代:“自下而上”地解决问题。从最基础的步骤开始,然后不断重复或累加这些步骤,直到任务完成。
  • 递归:“自上而下”地解决问题。将原问题分解为更小的子问题,这些子问题和原问题具有相同的形式。接下来将子问题继续分解为更小的子问题,直到基本情况时停止(基本情况的解是已知的)。

以上述求和函数为例,设问题 \(f(n) = 1 + 2 + \dots + n\)

  • 迭代:在循环中模拟求和过程,从 \(1\) 遍历到 \(n\) ,每轮执行求和操作,即可求得 \(f(n)\)
  • 递归:将问题分解为子问题 \(f(n) = n + f(n-1)\) ,不断(递归地)分解下去,直至基本情况 \(f(1) = 1\) 时终止。

1.   调用栈

递归函数每次调用自身时,系统都会为新开启的函数分配内存,以存储局部变量、调用地址和其他信息等。这将导致两方面的结果。

  • 函数的上下文数据都存储在称为“栈帧空间”的内存区域中,直至函数返回后才会被释放。因此,递归通常比迭代更加耗费内存空间
  • 递归调用函数会产生额外的开销。因此递归通常比循环的时间效率更低

如图 2-4 所示,在触发终止条件前,同时存在 \(n\) 个未返回的递归函数,递归深度为 \(n\)

递归调用深度

图 2-4   递归调用深度

在实际中,编程语言允许的递归深度通常是有限的,过深的递归可能导致栈溢出错误。

2.   尾递归

有趣的是,如果函数在返回前的最后一步才进行递归调用,则该函数可以被编译器或解释器优化,使其在空间效率上与迭代相当。这种情况被称为「尾递归 tail recursion」。

  • 普通递归:当函数返回到上一层级的函数后,需要继续执行代码,因此系统需要保存上一层调用的上下文。
  • 尾递归:递归调用是函数返回前的最后一个操作,这意味着函数返回到上一层级后,无须继续执行其他操作,因此系统无须保存上一层函数的上下文。

以计算 \(1 + 2 + \dots + n\) 为例,我们可以将结果变量 res 设为函数参数,从而实现尾递归:

recursion.py
def tail_recur(n, res):
    """尾递归"""
    # 终止条件
    if n == 0:
        return res
    # 尾递归调用
    return tail_recur(n - 1, res + n)
recursion.cpp
/* 尾递归 */
int tailRecur(int n, int res) {
    // 终止条件
    if (n == 0)
        return res;
    // 尾递归调用
    return tailRecur(n - 1, res + n);
}
recursion.java
/* 尾递归 */
int tailRecur(int n, int res) {
    // 终止条件
    if (n == 0)
        return res;
    // 尾递归调用
    return tailRecur(n - 1, res + n);
}
recursion.cs
/* 尾递归 */
int TailRecur(int n, int res) {
    // 终止条件
    if (n == 0)
        return res;
    // 尾递归调用
    return TailRecur(n - 1, res + n);
}
recursion.go
/* 尾递归 */
func tailRecur(n int, res int) int {
    // 终止条件
    if n == 0 {
        return res
    }
    // 尾递归调用
    return tailRecur(n-1, res+n)
}
recursion.swift
/* 尾递归 */
func tailRecur(n: Int, res: Int) -> Int {
    // 终止条件
    if n == 0 {
        return res
    }
    // 尾递归调用
    return tailRecur(n: n - 1, res: res + n)
}
recursion.js
/* 尾递归 */
function tailRecur(n, res) {
    // 终止条件
    if (n === 0) return res;
    // 尾递归调用
    return tailRecur(n - 1, res + n);
}
recursion.ts
/* 尾递归 */
function tailRecur(n: number, res: number): number {
    // 终止条件
    if (n === 0) return res;
    // 尾递归调用
    return tailRecur(n - 1, res + n);
}
recursion.dart
/* 尾递归 */
int tailRecur(int n, int res) {
  // 终止条件
  if (n == 0) return res;
  // 尾递归调用
  return tailRecur(n - 1, res + n);
}
recursion.rs
/* 尾递归 */
fn tail_recur(n: i32, res: i32) -> i32 {
    // 终止条件
    if n == 0 {
        return res;
    }
    // 尾递归调用
    tail_recur(n - 1, res + n)
}
recursion.c
/* 尾递归 */
int tailRecur(int n, int res) {
    // 终止条件
    if (n == 0)
        return res;
    // 尾递归调用
    return tailRecur(n - 1, res + n);
}
recursion.zig
// 尾递归函数
fn tailRecur(n: i32, res: i32) i32 {
    // 终止条件
    if (n == 0) {
        return res;
    }
    // 尾递归调用
    return tailRecur(n - 1, res + n);
}
可视化运行

尾递归的执行过程如图 2-5 所示。对比普通递归和尾递归,两者的求和操作的执行点是不同的。

  • 普通递归:求和操作是在“归”的过程中执行的,每层返回后都要再执行一次求和操作。
  • 尾递归:求和操作是在“递”的过程中执行的,“归”的过程只需层层返回。

尾递归过程

图 2-5   尾递归过程

Tip

请注意,许多编译器或解释器并不支持尾递归优化。例如,Python 默认不支持尾递归优化,因此即使函数是尾递归形式,仍然可能会遇到栈溢出问题。

3.   递归树

当处理与“分治”相关的算法问题时,递归往往比迭代的思路更加直观、代码更加易读。以“斐波那契数列”为例。

Question

给定一个斐波那契数列 \(0, 1, 1, 2, 3, 5, 8, 13, \dots\) ,求该数列的第 \(n\) 个数字。

设斐波那契数列的第 \(n\) 个数字为 \(f(n)\) ,易得两个结论。

  • 数列的前两个数字为 \(f(1) = 0\)\(f(2) = 1\)
  • 数列中的每个数字是前两个数字的和,即 \(f(n) = f(n - 1) + f(n - 2)\)

按照递推关系进行递归调用,将前两个数字作为终止条件,便可写出递归代码。调用 fib(n) 即可得到斐波那契数列的第 \(n\) 个数字:

recursion.py
def fib(n: int) -> int:
    """斐波那契数列:递归"""
    # 终止条件 f(1) = 0, f(2) = 1
    if n == 1 or n == 2:
        return n - 1
    # 递归调用 f(n) = f(n-1) + f(n-2)
    res = fib(n - 1) + fib(n - 2)
    # 返回结果 f(n)
    return res
recursion.cpp
/* 斐波那契数列:递归 */
int fib(int n) {
    // 终止条件 f(1) = 0, f(2) = 1
    if (n == 1 || n == 2)
        return n - 1;
    // 递归调用 f(n) = f(n-1) + f(n-2)
    int res = fib(n - 1) + fib(n - 2);
    // 返回结果 f(n)
    return res;
}
recursion.java
/* 斐波那契数列:递归 */
int fib(int n) {
    // 终止条件 f(1) = 0, f(2) = 1
    if (n == 1 || n == 2)
        return n - 1;
    // 递归调用 f(n) = f(n-1) + f(n-2)
    int res = fib(n - 1) + fib(n - 2);
    // 返回结果 f(n)
    return res;
}
recursion.cs
/* 斐波那契数列:递归 */
int Fib(int n) {
    // 终止条件 f(1) = 0, f(2) = 1
    if (n == 1 || n == 2)
        return n - 1;
    // 递归调用 f(n) = f(n-1) + f(n-2)
    int res = Fib(n - 1) + Fib(n - 2);
    // 返回结果 f(n)
    return res;
}
recursion.go
/* 斐波那契数列:递归 */
func fib(n int) int {
    // 终止条件 f(1) = 0, f(2) = 1
    if n == 1 || n == 2 {
        return n - 1
    }
    // 递归调用 f(n) = f(n-1) + f(n-2)
    res := fib(n-1) + fib(n-2)
    // 返回结果 f(n)
    return res
}
recursion.swift
/* 斐波那契数列:递归 */
func fib(n: Int) -> Int {
    // 终止条件 f(1) = 0, f(2) = 1
    if n == 1 || n == 2 {
        return n - 1
    }
    // 递归调用 f(n) = f(n-1) + f(n-2)
    let res = fib(n: n - 1) + fib(n: n - 2)
    // 返回结果 f(n)
    return res
}
recursion.js
/* 斐波那契数列:递归 */
function fib(n) {
    // 终止条件 f(1) = 0, f(2) = 1
    if (n === 1 || n === 2) return n - 1;
    // 递归调用 f(n) = f(n-1) + f(n-2)
    const res = fib(n - 1) + fib(n - 2);
    // 返回结果 f(n)
    return res;
}
recursion.ts
/* 斐波那契数列:递归 */
function fib(n: number): number {
    // 终止条件 f(1) = 0, f(2) = 1
    if (n === 1 || n === 2) return n - 1;
    // 递归调用 f(n) = f(n-1) + f(n-2)
    const res = fib(n - 1) + fib(n - 2);
    // 返回结果 f(n)
    return res;
}
recursion.dart
/* 斐波那契数列:递归 */
int fib(int n) {
  // 终止条件 f(1) = 0, f(2) = 1
  if (n == 1 || n == 2) return n - 1;
  // 递归调用 f(n) = f(n-1) + f(n-2)
  int res = fib(n - 1) + fib(n - 2);
  // 返回结果 f(n)
  return res;
}
recursion.rs
/* 斐波那契数列:递归 */
fn fib(n: i32) -> i32 {
    // 终止条件 f(1) = 0, f(2) = 1
    if n == 1 || n == 2 {
        return n - 1;
    }
    // 递归调用 f(n) = f(n-1) + f(n-2)
    let res = fib(n - 1) + fib(n - 2);
    // 返回结果
    res
}
recursion.c
/* 斐波那契数列:递归 */
int fib(int n) {
    // 终止条件 f(1) = 0, f(2) = 1
    if (n == 1 || n == 2)
        return n - 1;
    // 递归调用 f(n) = f(n-1) + f(n-2)
    int res = fib(n - 1) + fib(n - 2);
    // 返回结果 f(n)
    return res;
}
recursion.zig
// 斐波那契数列
fn fib(n: i32) i32 {
    // 终止条件 f(1) = 0, f(2) = 1
    if (n == 1 or n == 2) {
        return n - 1;
    }
    // 递归调用 f(n) = f(n-1) + f(n-2)
    var res: i32 = fib(n - 1) + fib(n - 2);
    // 返回结果 f(n)
    return res;
}
可视化运行

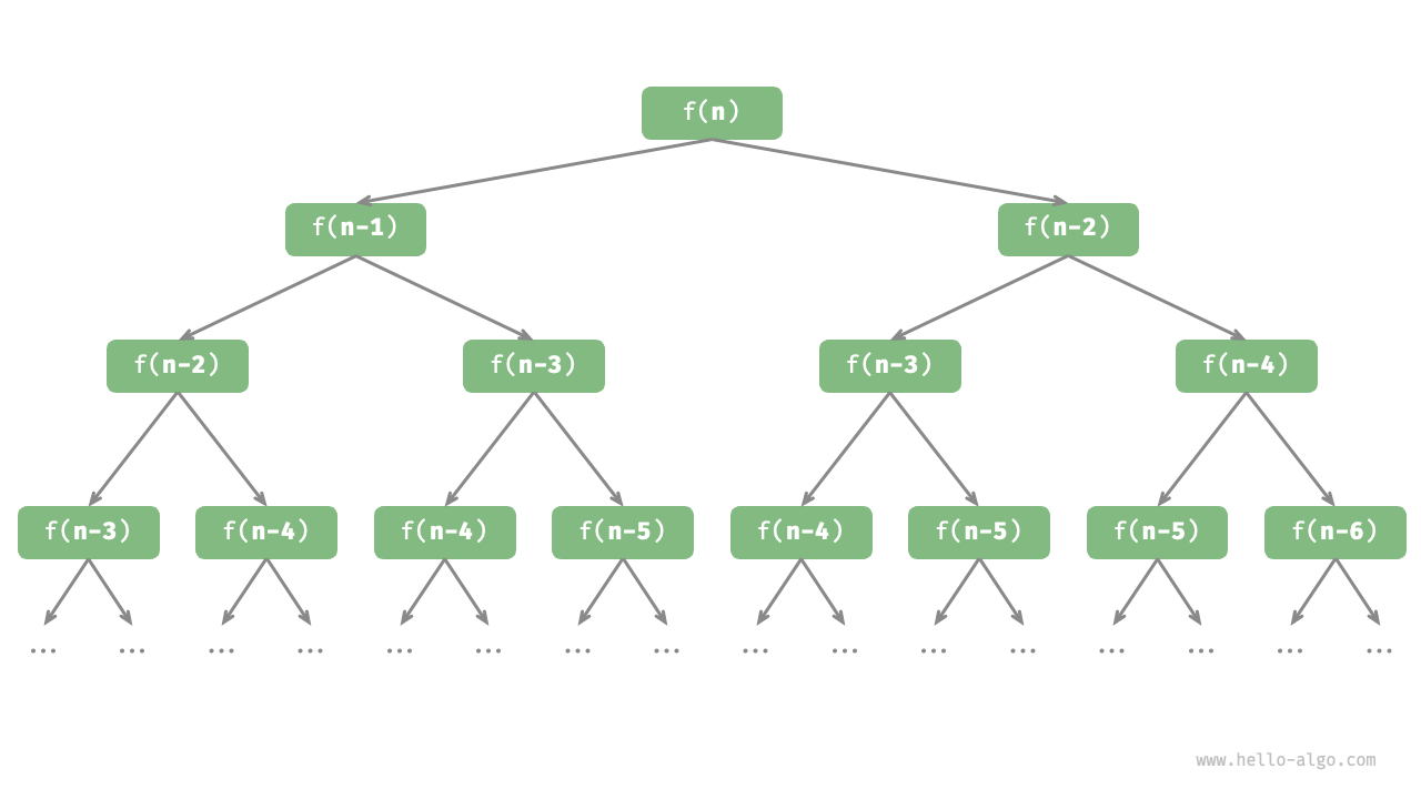
观察以上代码,我们在函数内递归调用了两个函数,这意味着从一个调用产生了两个调用分支。如图 2-6 所示,这样不断递归调用下去,最终将产生一棵层数为 \(n\) 的「递归树 recursion tree」。

斐波那契数列的递归树

图 2-6   斐波那契数列的递归树

从本质上看,递归体现了“将问题分解为更小子问题”的思维范式,这种分治策略至关重要。

  • 从算法角度看,搜索、排序、回溯、分治、动态规划等许多重要算法策略直接或间接地应用了这种思维方式。
  • 从数据结构角度看,递归天然适合处理链表、树和图的相关问题,因为它们非常适合用分治思想进行分析。

2.2.3   两者对比

总结以上内容,如表 2-1 所示,迭代和递归在实现、性能和适用性上有所不同。

表 2-1   迭代与递归特点对比

迭代 递归
实现方式 循环结构 函数调用自身
时间效率 效率通常较高,无函数调用开销 每次函数调用都会产生开销
内存使用 通常使用固定大小的内存空间 累积函数调用可能使用大量的栈帧空间
适用问题 适用于简单循环任务,代码直观、可读性好 适用于子问题分解,如树、图、分治、回溯等,代码结构简洁、清晰

Tip

如果感觉以下内容理解困难,可以在读完“栈”章节后再来复习。

那么,迭代和递归具有什么内在联系呢?以上述递归函数为例,求和操作在递归的“归”阶段进行。这意味着最初被调用的函数实际上是最后完成其求和操作的,这种工作机制与栈的“先入后出”原则异曲同工

事实上,“调用栈”和“栈帧空间”这类递归术语已经暗示了递归与栈之间的密切关系。

  1. :当函数被调用时,系统会在“调用栈”上为该函数分配新的栈帧,用于存储函数的局部变量、参数、返回地址等数据。
  2. :当函数完成执行并返回时,对应的栈帧会被从“调用栈”上移除,恢复之前函数的执行环境。

因此,我们可以使用一个显式的栈来模拟调用栈的行为,从而将递归转化为迭代形式:

recursion.py
def for_loop_recur(n: int) -> int:
    """使用迭代模拟递归"""
    # 使用一个显式的栈来模拟系统调用栈
    stack = []
    res = 0
    # 递:递归调用
    for i in range(n, 0, -1):
        # 通过“入栈操作”模拟“递”
        stack.append(i)
    # 归:返回结果
    while stack:
        # 通过“出栈操作”模拟“归”
        res += stack.pop()
    # res = 1+2+3+...+n
    return res
recursion.cpp
/* 使用迭代模拟递归 */
int forLoopRecur(int n) {
    // 使用一个显式的栈来模拟系统调用栈
    stack<int> stack;
    int res = 0;
    // 递:递归调用
    for (int i = n; i > 0; i--) {
        // 通过“入栈操作”模拟“递”
        stack.push(i);
    }
    // 归:返回结果
    while (!stack.empty()) {
        // 通过“出栈操作”模拟“归”
        res += stack.top();
        stack.pop();
    }
    // res = 1+2+3+...+n
    return res;
}
recursion.java
/* 使用迭代模拟递归 */
int forLoopRecur(int n) {
    // 使用一个显式的栈来模拟系统调用栈
    Stack<Integer> stack = new Stack<>();
    int res = 0;
    // 递:递归调用
    for (int i = n; i > 0; i--) {
        // 通过“入栈操作”模拟“递”
        stack.push(i);
    }
    // 归:返回结果
    while (!stack.isEmpty()) {
        // 通过“出栈操作”模拟“归”
        res += stack.pop();
    }
    // res = 1+2+3+...+n
    return res;
}
recursion.cs
/* 使用迭代模拟递归 */
int ForLoopRecur(int n) {
    // 使用一个显式的栈来模拟系统调用栈
    Stack<int> stack = new();
    int res = 0;
    // 递:递归调用
    for (int i = n; i > 0; i--) {
        // 通过“入栈操作”模拟“递”
        stack.Push(i);
    }
    // 归:返回结果
    while (stack.Count > 0) {
        // 通过“出栈操作”模拟“归”
        res += stack.Pop();
    }
    // res = 1+2+3+...+n
    return res;
}
recursion.go
/* 使用迭代模拟递归 */
func forLoopRecur(n int) int {
    // 使用一个显式的栈来模拟系统调用栈
    stack := list.New()
    res := 0
    // 递:递归调用
    for i := n; i > 0; i-- {
        // 通过“入栈操作”模拟“递”
        stack.PushBack(i)
    }
    // 归:返回结果
    for stack.Len() != 0 {
        // 通过“出栈操作”模拟“归”
        res += stack.Back().Value.(int)
        stack.Remove(stack.Back())
    }
    // res = 1+2+3+...+n
    return res
}
recursion.swift
/* 使用迭代模拟递归 */
func forLoopRecur(n: Int) -> Int {
    // 使用一个显式的栈来模拟系统调用栈
    var stack: [Int] = []
    var res = 0
    // 递:递归调用
    for i in stride(from: n, to: 0, by: -1) {
        // 通过“入栈操作”模拟“递”
        stack.append(i)
    }
    // 归:返回结果
    while !stack.isEmpty {
        // 通过“出栈操作”模拟“归”
        res += stack.removeLast()
    }
    // res = 1+2+3+...+n
    return res
}
recursion.js
/* 使用迭代模拟递归 */
function forLoopRecur(n) {
    // 使用一个显式的栈来模拟系统调用栈
    const stack = [];
    let res = 0;
    // 递:递归调用
    for (let i = n; i > 0; i--) {
        // 通过“入栈操作”模拟“递”
        stack.push(i);
    }
    // 归:返回结果
    while (stack.length) {
        // 通过“出栈操作”模拟“归”
        res += stack.pop();
    }
    // res = 1+2+3+...+n
    return res;
}
recursion.ts
/* 使用迭代模拟递归 */
function forLoopRecur(n: number): number {
    // 使用一个显式的栈来模拟系统调用栈 
    const stack: number[] = [];
    let res: number = 0;
    // 递:递归调用
    for (let i = n; i > 0; i--) {
        // 通过“入栈操作”模拟“递”
        stack.push(i);
    }
    // 归:返回结果
    while (stack.length) {
        // 通过“出栈操作”模拟“归”
        res += stack.pop();
    }
    // res = 1+2+3+...+n
    return res;
}
recursion.dart
/* 使用迭代模拟递归 */
int forLoopRecur(int n) {
  // 使用一个显式的栈来模拟系统调用栈
  List<int> stack = [];
  int res = 0;
  // 递:递归调用
  for (int i = n; i > 0; i--) {
    // 通过“入栈操作”模拟“递”
    stack.add(i);
  }
  // 归:返回结果
  while (!stack.isEmpty) {
    // 通过“出栈操作”模拟“归”
    res += stack.removeLast();
  }
  // res = 1+2+3+...+n
  return res;
}
recursion.rs
/* 使用迭代模拟递归 */
fn for_loop_recur(n: i32) -> i32 {
    // 使用一个显式的栈来模拟系统调用栈
    let mut stack = Vec::new();
    let mut res = 0;
    // 递:递归调用
    for i in (1..=n).rev() {
        // 通过“入栈操作”模拟“递”
        stack.push(i);
    }
    // 归:返回结果
    while !stack.is_empty() {
        // 通过“出栈操作”模拟“归”
        res += stack.pop().unwrap();
    }
    // res = 1+2+3+...+n
    res
}
recursion.c
/* 使用迭代模拟递归 */
int forLoopRecur(int n) {
    int stack[1000]; // 借助一个大数组来模拟栈
    int top = -1;    // 栈顶索引
    int res = 0;
    // 递:递归调用
    for (int i = n; i > 0; i--) {
        // 通过“入栈操作”模拟“递”
        stack[1 + top++] = i;
    }
    // 归:返回结果
    while (top >= 0) {
        // 通过“出栈操作”模拟“归”
        res += stack[top--];
    }
    // res = 1+2+3+...+n
    return res;
}
recursion.zig
// 使用迭代模拟递归
fn forLoopRecur(comptime n: i32) i32 {
    // 使用一个显式的栈来模拟系统调用栈
    var stack: [n]i32 = undefined;
    var res: i32 = 0;
    // 递:递归调用
    var i: usize = n;
    while (i > 0) {
        stack[i - 1] = @intCast(i);
        i -= 1;
    }
    // 归:返回结果
    var index: usize = n;
    while (index > 0) {
        index -= 1;
        res += stack[index];
    }
    // res = 1+2+3+...+n
    return res;
}
可视化运行

观察以上代码,当递归转化为迭代后,代码变得更加复杂了。尽管迭代和递归在很多情况下可以互相转化,但不一定值得这样做,有以下两点原因。

  • 转化后的代码可能更加难以理解,可读性更差。
  • 对于某些复杂问题,模拟系统调用栈的行为可能非常困难。

总之,选择迭代还是递归取决于特定问题的性质。在编程实践中,权衡两者的优劣并根据情境选择合适的方法至关重要。

欢迎在评论区留下你的见解、问题或建议